- Добавлено в избранное
- Задать вопрос
Безрамочный щелевой диффузор G-LOOK
Описание
Скачать описание
Безрамочный щелевой диффузор G-LOOK
Диффузор G-Look относится к щелевым решеткам скрытого монтажа. Решетки устанавливаются в подвесные потолки из гипсокартона, формируя непрерывные линии с активными и неактивными зонами без нарушения общей целостности. Данные диффузоры предназначены для подачи и вытяжки воздуха.
Характерной особенностью данной решетки является пластина, которая регулирует направление потока воздуха по горизонтали в том и другом направлении, либо по вертикали, без изменения объема воздуха. Их можно использовать на высоте от 2,6 до 4 метров, при перепаде температур до 12˚С.
Рамка решетки имеет ребристую поверхность для лучшей адгезии финишного материала отделки. Под шпаклевку в рамке предусмотрена полка 2,3 мм. После монтажа диффузора видимой частью остается лишь пластина черного цвета, образующая лаконичную непрерывную линию.
Корпус диффузора G-Look изготавливаются из экструдированного алюминиевого профиля АД31 по ГОСТ 22233-2001, регулирующая пластина - из оцинкованной стали. По умолчанию корпус диффузоров окрашивается в стандартный белый цвет RAL9016M матовый, а внутренняя пластина (дефлектор) в чёрный цвет RAL9005М матовый. По индивидуальному заказу возможна окраска в любой цвет по шкале RAL как корпуса, так и внутренней части.
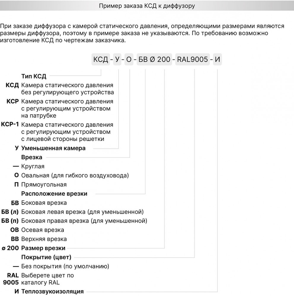
Для подключения к системе вентиляции и кондиционирования используется камера статического давления (адаптер) - КСД или КСР.
⚠ В комплект с решеткой не входит и заказывается отдельно.

Камера статического давления является элементом систем вентиляции и кондиционирования воздуха, они обеспечивают равномерное распределение воздушных масс через сечение решетки. КСД состоит из стального корпуса с круглым патрубком для подсоединения к воздуховоду. КСР дополнительно оснащены устройством, регулирующим объем подаваемого воздуха, которое устанавливается во входном патрубке.
Статическая камера изготавливается из оцинкованной листовой стали 0,4 - 1,5 мм в зависимости от размера и пожелания заказчика. По умолчанию все изделия поставляются в неокрашенном виде.
Типы КСД:
- КСД - стандартная камера с круглой врезкой;
- КСД-У - уменьшенная камера с с круглой врезкой;
- КСД-У-О - уменьшенная камера с с овальной врезкой;
- КСД-У-П - уменьшенная камера с с прямоугольной врезкой.
Камеры статического давления с овальной и прямоугольной врезками позволяют уменьшить монтажное пространство и тем самым максимально сохранить полезную площадь помещения.
Размер монтажного пространства (W) напрямую зависит от размера подключаемого воздуховода - чем меньше воздуховод, тем меньше адаптер для диффузора. В каталоге приведены рекомендуемые размеры воздуховода, но по запросу заказчика возможно изготовить адаптер с любой врезкой.

К воздуховоду щелевые решетки монтируются посредством камеры статического давления (КСД). После установки КСД производится обрешетка потолочным профилем с последующей облицовкой гипсокартоном. Затем устанавливается решетка с помощью пружинных креплений. Стыки между листами и поверхность потолка шпаклюются (под шпаклевку в рамке диффузора предусмотрена полка 2,3 мм). Для лучшей адгезии финишного материала рамка имеет ребристую поверхность. Заключительный этап – покраска. После отделки видимой частью остается только щель, образующая лаконичную линию.

Габаритно-посадочные размеры решетки зависят от серии диффузора и ее типоразмера. Чтобы верно определить посадочный размер, необходимо воспользоваться расчетом по чертежам определенного типа решетки в данном каталоге.











Характеристики
-
ПроизводительООО "ЗАВОД ВРК"
-
Серия решеткиG-Look
-
Вид решеткиЩелевые
-
Способ монтажаСкрытого монтажа
-
РегулировкаРегулируемая
-
ФормаПрямоугольные
-
МатериалАлюминий
-
КонструкцияНеразборная
-
Предоплата100%
-
БрендTHE GRILLES
-
Количество щелей1 щель
-
Этап установкиМонтаж с нуля
-
Тип монтажаПод шпаклевку
Особенности
Чертеж
Отзывы
Отзывов нет. Станьте первым, кто оставит отзыв!
Пример заказа
- Похожие товары
- Хиты продаж
- Распродажа
- Популярное
Способы монтажа
Мы располагаем огромными возможностями и выбором
Получите консультацию
Оставьте свои контактные данные и мы вам перезвоним!