Щелевая решетка скрытого монтажа G-Line-1
- Добавить в избранное
- Задать вопрос
- Добавить в избранное
- Задать вопрос
Щелевая решетка скрытого монтажа G-Line-1
Описание
Скачать описание
Щелевая решетка скрытого монтажа G-Line-1
Щелевые решетки скрытого монтажа G-Line-1 используются в системах вентиляции и кондиционирования в качестве конечного декоративного элемента инженерной системы. Они обеспечивают подачу свежего или удаление загрязненного воздуха из помещений.
Щелевая решетка скрытого монтажа G-Line-1 представляет собой декоративную рамку с перфорированной стальной кассетой внутри. Рамка оснащена "полкой" 2,3 мм под шпаклевку. Ребристая поверхность профиля улучшает адгезию финишного материала. После монтажа решетки, видимой частью в помещении остаётся только щелевой слот чёрного цвета.
Отличительной особенностью конструкции щелевых решеток G-Line-1 от других решеток скрытого монтажа является отсутствие направляющих устройств для регулирования потока воздуха. Внутрь решетки установлена перфорированная пластина черного цвета для равномерного истечения потока воздуха в помещение.
Щелевые решетки G-Line-1 изготавливаются из экструдированного алюминиевого профиля АД31 по ГОСТ 22233-2001.
По умолчанию корпус диффузоров окрашивается в стандартный белый цвет RAL 9016 матовый, а внутренняя перфорированная кассета в чёрный цвет RAL 9005 матовый. По индивидуальному заказу возможна окраска в любой цвет по шкале RAL как корпуса, так и внутренней части.
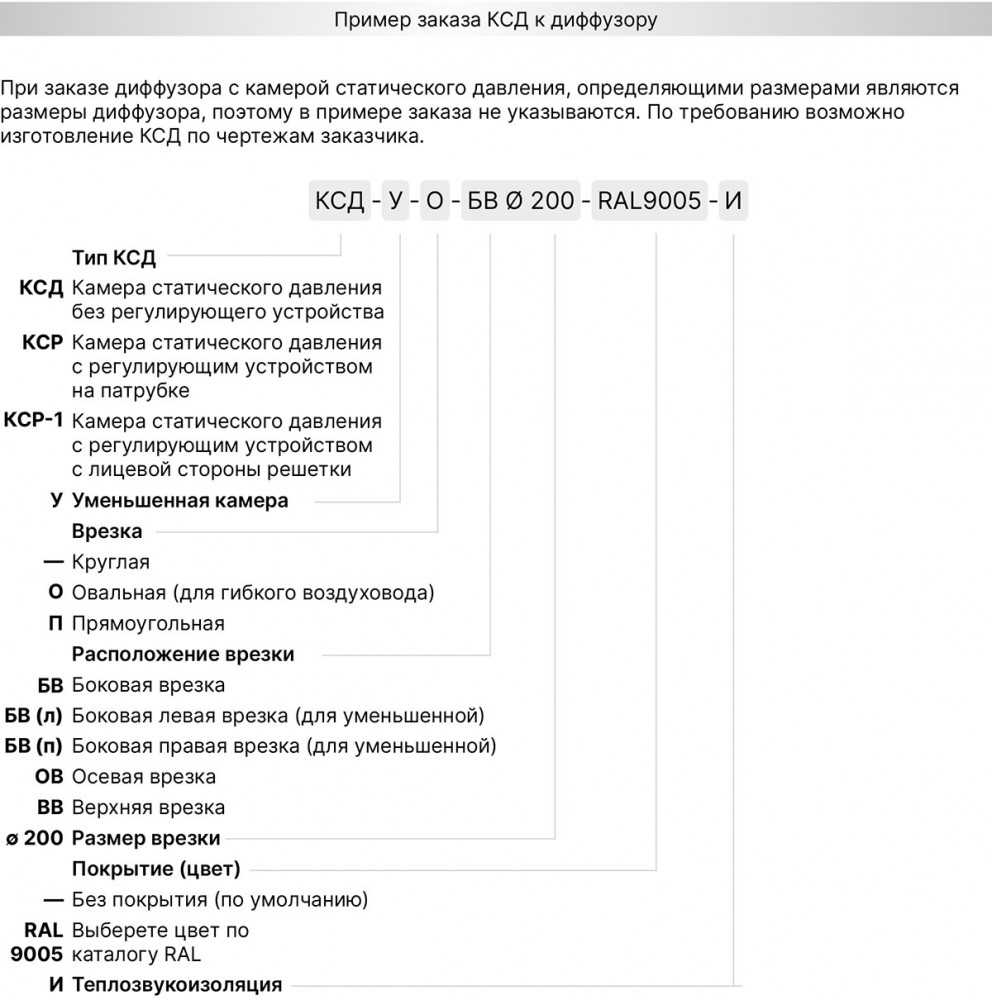
Для подключения к системе вентиляции и кондиционирования используется камера статического давления (адаптер) - КСД или КСР.
⚠ В комплект с решеткой не входит и заказывается отдельно.
Камера статического давления является элементом систем вентиляции и кондиционирования воздуха, они обеспечивают равномерное распределение воздушных масс через сечение решетки. КСД состоит из стального корпуса с круглым патрубком для подсоединения к воздуховоду. КСР дополнительно оснащены устройством, регулирующим объем подаваемого воздуха, которое устанавливается во входном патрубке. Статическая камера изготавливается из оцинкованной листовой стали 0,4 - 1,5 мм в зависимости от размера и пожелания заказчика. По умолчанию все изделия поставляются в неокрашенном виде.

Типы КСД:
- КСД - стандартная камера с круглой врезкой;
- КСД-У - уменьшенная камера с круглой врезкой;
- КСД-У-О - уменьшенная камера с овальной врезкой;
- КСД-У-П - уменьшенная камера с прямоугольной врезкой.
Камеры статического давления с овальной и прямоугольной врезками позволяют уменьшить монтажное пространство и тем самым максимально сохранить полезную площадь помещения.
Размер монтажного пространства (W) напрямую зависит от размера подключаемого воздуховода - чем меньше воздуховод, тем меньше адаптер для диффузора. В каталоге приведены рекомендуемые размеры воздуховода, но по запросу заказчика возможно изготовить адаптер с любой врезкой.

Габаритно-посадочные размеры решетки зависят от серии решетки и ее типоразмера. Чтобы верно определить посадочный размер, необходимо воспользоваться расчетом по чертежам определенного типа решетки.





К воздуховоду щелевые решетки монтируются посредством камеры статического давления (КСД). После установки КСД производится облицовка гипсокартоном, а затем монтируется решетка к закладным деталям в камере через перфорацию. Стыки между листами и поверхность потолка шпаклюются (под шпаклевку в рамке диффузора предусмотрена полка 2 мм). Выполняется покраска. Для лучшей адгезии финишного материала рамка имеет ребристую поверхность.






Характеристики
-
ПроизводительООО "ЗАВОД ВРК"
-
Серия решеткиG-Line
-
Способ монтажаСкрытого монтажа
-
РегулировкаНерегулируемая
-
ФормаПрямоугольные
-
КонструкцияНеразборная
-
Предоплата100%
-
БрендTHE GRILLES
-
Этап установкиМонтаж с нуля
-
Тип монтажаПод шпаклевку
-
Количество щелей1 щель
Особенности
Чертеж
Отзывы
Отзывов нет. Станьте первым, кто оставит отзыв!
Пример заказа
- Похожие товары
- Хиты продаж
- Распродажа
- Популярное
Способы монтажа
Мы располагаем огромными возможностями и выбором
Получите консультацию
Оставьте свои контактные данные и мы вам перезвоним!