Щелевая решетка скрытого монтажа с перфорацией Airline-1
- Добавить в избранное
- Задать вопрос
- Добавить в избранное
- Задать вопрос
Щелевая решетка скрытого монтажа с перфорацией Airline-1
Описание
Скачать описание
Щелевая решетка скрытого монтажа с перфорацией Airline-1
Щелевые решетки скрытого монтажа Airline-1 используются в системах вентиляции и кондиционирования в качестве конечного декоративного элемента инженерной системы. Они обеспечивают подачу свежего или удаление загрязненного воздуха из помещений.
Щелевая скрытая решетка Airline-1 представляет собой декоративную рамку с перфорированной стальной кассетой внутри. После монтажа решетки, видимой частью в помещении остаётся только щелевой слот чёрного цвета. Для удобства монтажа рамка оснащена «полкой» 6 мм под соответствующую толщину гипсокартона или комбинации листов разной толщины. Отверстия в рамке улучшают адгезию финишного материала.
Отличительной особенностью конструкции щелевых решеток Airline-1 от других решеток скрытого монтажа является отсутствие направляющих устройств для регулирования потока воздуха. Внутрь решетки установлена перфорированная пластина черного цвета для равномерного истечения потока воздуха в помещение.
Щелевые решетки Airline-1 изготавливаются из экструдированного алюминиевого профиля АД31 по ГОСТ 22233-2001. По умолчанию корпус решетки окрашивается в стандартный белый цвет RAL 9016, а внутренняя перфорированная кассета в чёрный цвет RAL9005. По индивидуальному заказу возможна окраска в любой цвет по шкале RAL как корпуса, так и внутренней части.
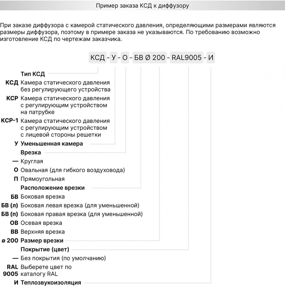
Для подключения к системе вентиляции и кондиционирования используется камера статического давления (адаптер) - КСД или КСР.
⚠ В комплект с решеткой не входит и заказывается отдельно.

Камера статического давления является элементом систем вентиляции и кондиционирования воздуха, они обеспечивают равномерное распределение воздушных масс через сечение решетки. КСД состоит из стального корпуса с круглым патрубком для подсоединения к воздуховоду. КСР дополнительно оснащены устройством, регулирующим объем подаваемого воздуха, которое устанавливается во входном патрубке.
Статическая камера изготавливается из оцинкованной листовой стали 0,4 - 1,5 мм в зависимости от размера и пожелания заказчика. По умолчанию все изделия поставляются в неокрашенном виде.
Типы КСД:
- КСД - стандартная камера с круглой врезкой;
- КСД-О - камера с овальной врезкой;
- КСД-П - камера с прямоугольной врезкой.
Камеры статического давления с овальной и прямоугольной врезками позволяют уменьшить монтажное пространство и тем самым максимально сохранить полезную площадь помещения.
Размер монтажного пространства (W) напрямую зависит от размера подключаемого воздуховода - чем меньше воздуховод, тем меньше адаптер для диффузора. В каталоге приведены рекомендуемые размеры воздуховода, но по запросу заказчика возможно изготовить адаптер с любой врезкой.

Габаритно-посадочные размеры решетки зависят от серии диффузора и ее типоразмера. Чтобы верно определить посадочный размер, необходимо воспользоваться расчетом по чертежам определенного типа решетки.



Монтаж. К воздуховоду щелевые решетки монтируются посредством камеры статического давления (КСД). После установки КСД производится облицовка гипсокартоном.
Особенностью решеток серии Airline является полка 6 мм. Чтобы слой финишной шпаклевки был не более 3 мм, рекомендуется выполнить вырезы в листе гипсокартона под рамку решетки и утопить решетку в ГКЛ на соответствующую глубину.
Решетка крепится через перфорацию к закладным деталям в КСД с помощью саморезов. Заделка швов выполняется высокопрочной гипсовой шпаклевкой Унифлот (Knauf-Uniflott). Для лучшей адгезии финишного материала рамка решетки имеет отверстия. Последний этап - финишная шпаклевка и покраска






Характеристики
-
ПроизводительООО "ЗАВОД ВРК"
-
Серия решеткиAirline
-
Вид решеткиЩелевые
-
Способ монтажаСкрытого монтажа
-
РегулировкаНерегулируемая
-
ФормаПрямоугольные
-
МатериалАлюминий
-
КонструкцияНеразборная
-
Предоплата100%
-
БрендTHE GRILLES
-
Этап установкиМонтаж с нуля
-
Тип монтажаПод шпаклевку
-
Количество щелей1 щель
Особенности
Чертеж
Отзывы
Отзывов нет. Станьте первым, кто оставит отзыв!
Пример заказа
- Похожие товары
- Хиты продаж
- Распродажа
- Популярное
Способы монтажа
Мы располагаем огромными возможностями и выбором
Получите консультацию
Оставьте свои контактные данные и мы вам перезвоним!