- Добавить в избранное
- Задать вопрос
Невидимая щелевая решетка HL
Описание
Скачать описание
Невидимая щелевая решетка HL
Линейные щелевые диффузоры скрытого монтажа HL серии HeavyLine используются в системах приточно-вытяжной вентиляции и кондиционирования. Диффухоры устанавливаются в подвесные потолки или в стены из гипсокартона.
Особенности диффузора HL:
- Щель от 10 до 80 мм.
- Защелки, образующие щель, адаптируются под гипсокартон размерами 9,5 - 12,5 мм.
- Финишная отделка 1,5 мм.
- Наличие монтажных консолей, которые обеспечивают плотное прилегание решетки к гипсокартонной плите без необходимости в монтажной раме.
- Дополнительная комплектация дефлектором или выравнивателем потока воздуха.
- Модульная сборка позволяет создавать непрерывную линию по всему периметру помещения.
Рекомендуемый максимальный размер диффузора 3000 мм, минимальный 300 мм.
Диффузоры изготавливаются из экструдированного алюминиевого профиля АД31 по ГОСТ 22233-2001. По умолчанию корпус окрашивается в стандартный белый цвет матовый RAL 9016М, дефлектор или выравниватель потока воздуха в черный цвет матовый RAL 9005М. По индивидуальному заказу возможна окраска в любой цвет по шкале RAL, как корпуса, так и внутренней комплектации.
Статическая камера изготавливается из оцинкованной листовой стали 0,4 - 1,5 мм в зависимости от размера и пожелания заказчика. По умолчанию все изделия поставляются в неокрашенном виде.
По запросу возможна комплектация диффузора выравнивателем потока воздуха или дефлектором для равномерного распределения воздушных масс.

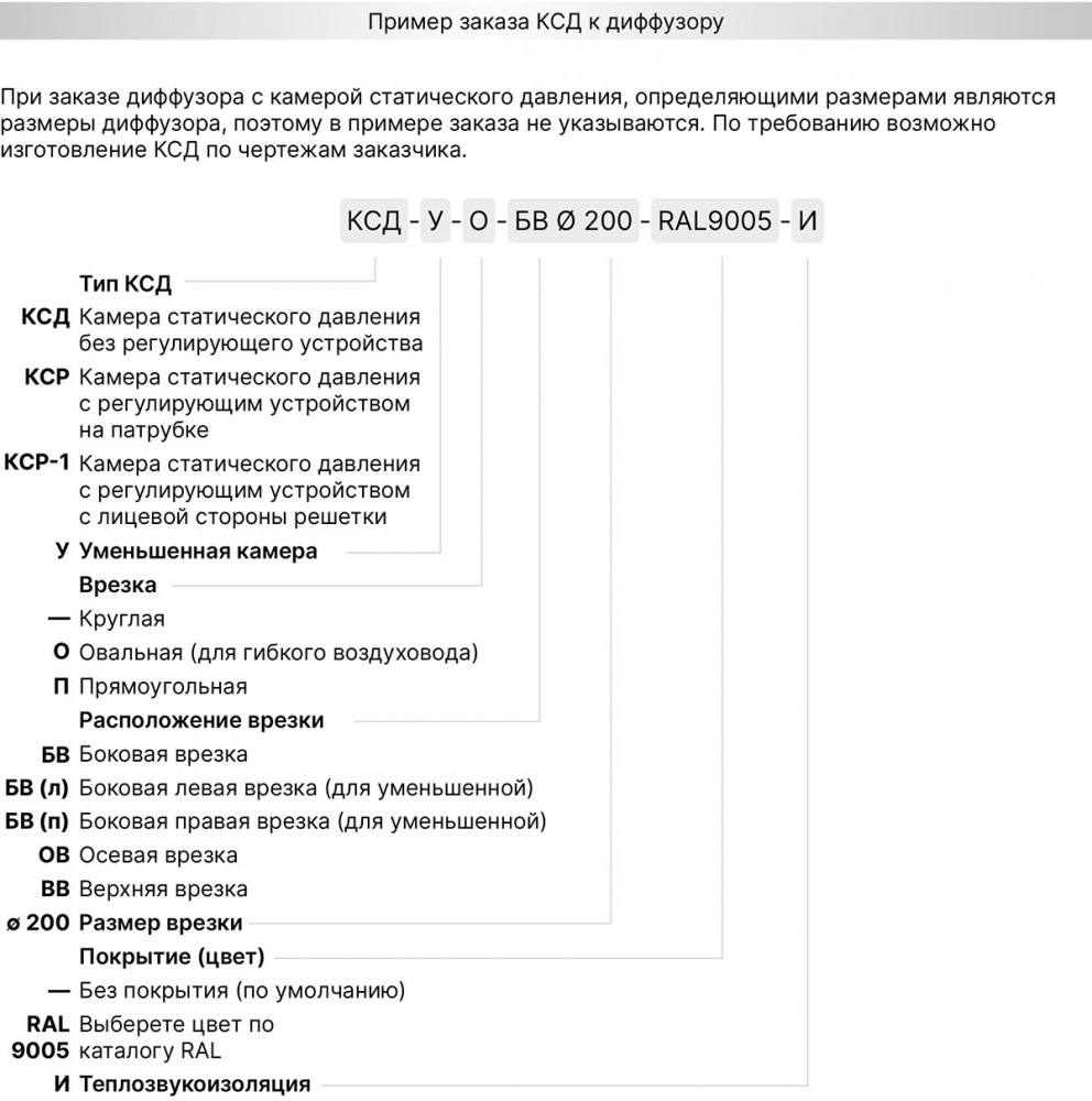
Для подключения к системе вентиляции и кондиционирования используется камера статического давления (адаптер) - КСД или КСР.
⚠ В комплект с решеткой не входит и заказывается отдельно.
Камера статического давления является элементом систем вентиляции и кондиционирования воздуха, они обеспечивают равномерное распределение воздушных масс через сечение решетки. КСД состоит из стального корпуса с круглым патрубком для подсоединения к воздуховоду. КСР дополнительно оснащены устройством, регулирующим объем подаваемого воздуха, которое устанавливается во входном патрубке.

Типы КСД:
- КСД - стандартная камера с круглой врезкой;
- КСД-У - уменьшенная камера с круглой врезкой;
- КСД-У-О - уменьшенная камера с овальной врезкой.
Уменьшенная камера статического давления позволяет максимально сохранить полезную площадь помещения за счет уменьшения монтажного пространства.
Размер монтажного пространства (W) напрямую зависит от размера подключаемого воздуховода - чем меньше воздуховод, тем меньше адаптер для диффузора. В каталоге приведены рекомендуемые размеры воздуховода, но по запросу заказчика возможно изготовить адаптер с любой врезкой.

Монтаж производится с помощью винтового соединения или заклепок к горловине КСД. При заказе решетки в комплекте с камерой статического давления, решетка поставляется в сборе с КСД. После монтажа КСД с установленной решеткой производится установка потолочных профилей и монтаж листов из гипсокартона (ГКЛ) при помощи саморезов по металлу, затем шпаклевка и покраска. Под шпаклевку предусмотрено 1,5 мм. После монтажа видимой частью остаются только щели диффузора.
В случае монтажа непрерывной конструкции, необходимо устанавливать в места соединения выравнивающие пластины - коннекторы. Данные изделия входят в комплект поставки.












Характеристики
-
ПроизводительООО "ЗАВОД ВРК"
-
Серия решеткиHeavyLine
-
Вид решеткиЩелевые
-
Способ монтажаСкрытого монтажа
-
РегулировкаНерегулируемая
-
БрендTHE GRILLES
-
ФормаПрямоугольные
-
МатериалАлюминий
-
КонструкцияНеразборная
-
Предоплата100%
-
Этап установкиМонтаж с нуля
-
Тип монтажаВ гипсокартон
-
Количество щелей1 щель
Особенности
Чертеж
Отзывы
Отзывов нет. Станьте первым, кто оставит отзыв!
Пример заказа
- Похожие товары
- Хиты продаж
- Распродажа
- Популярное
Способы монтажа
Мы располагаем огромными возможностями и выбором
Получите консультацию
Оставьте свои контактные данные и мы вам перезвоним!